



11月22日
Nov. 2018
农历十月十五
禅宗三祖僧璨大师圆寂纪念日

三祖僧璨禅师,姓氏及籍贯不详。
据史料记载,
他最初以白衣的身份拜谒了
来舒州司空山避难的二祖慧可祖师,
并得到祖师的点拨、印可和传法,
成为禅宗的三祖。


悟道因缘
初祖达磨传法给二祖之后,自于少林托化西归,二祖慧可于是一边随宜传法,度化众生,一边寻求法嗣,以付祖衣。
北周武毁佛期间,二祖与林法师为伴,护持经像,隐藏民间,并一度南下到舒州司空山隐居(后人在此处建有二祖寺,现存有二祖石窟的遗迹)。
到天平二年,二祖遇见了僧璨禅师。
僧璨禅师当时还是个居士。关于他的身世,《楞伽师资记》用了八个字来概括--"罔知姓位,不测所生"。
当时僧璨禅师已经四十多岁了,并且得了很厉害的风疾。
禅师前来礼拜二祖,可能跟他身染重病有关。病苦的折磨使他感觉到自己罪障深重,必须彻底忏悔。于是他问二祖:"弟子身缠风恙,请和尚忏罪。"
二祖回答道:"将罪来,与汝忏。"
禅师沉吟了很久,回答道:"觅罪不可得。"
二祖道:"与汝忏罪竟,宜依佛法僧住。"
禅师又问:"今见和尚,已知是僧。未审何名佛法?"
二祖道:"是心是佛,是心是法,法佛无二,僧宝亦然。"
禅师听了祖师的开示,言下心意豁然,欣喜道:"今日始知罪性不在内,不在外,不在中间,如其心然,佛法无二也。"
二祖听了禅师的回答,非常器重,并当即为他剃发,收他为弟子,说道:"是吾宝也。宜名僧璨。"
僧璨禅师悟道当年即前往光福寺受具足戒,从此以后,他的风疾也渐渐好转,并侍奉祖师两年多的时间。

法脉传承
有一天,二祖告诉僧璨禅师道:"菩提达磨远自竺乾,以正法眼藏并信衣(指金襴袈裟,释迦佛传下的用以表示正法法脉之所在的证信之物)密付于吾,吾今授汝。汝当守护,无令断绝。听吾偈曰:
“本来缘有地,因地种华生。
本来无有种,华亦不曾生。"
说完把祖衣交给了僧璨禅师,并叮嘱:"汝受吾教,宜处深山,未可行化,当有国难。"
僧璨禅师道:"师既预知,愿垂示诲。"
二祖道:"非吾知也。斯乃达磨传般若多罗悬记云'心中虽吉外头凶'是也。吾校年代,正在于汝。汝当谛思前言,勿罹世难。然吾亦有宿累,今要酬之。善去善行,俟时传付(不是我预知有法难,是达磨祖师传下来的般若多罗尊者所说之悬记中预言。我根据年代推算,当发生在你所处的时代,你要好好思维我所讲的,不要陷入这场法难。我前世负有宿债,现在是该前往偿还的时候了。你好生保重,以待机缘成熟,好把祖师的禅法和信衣传下去)。"
二祖付法完毕,即离开司空山,前往邺都酬债。
僧璨禅师于是谨遵师旨,没有急于出来大肆弘扬祖师禅法,而是韬光养晦,往来于司空山和皖公山之间,过着一种隐修的生活,长达十余年。
在这期间,僧璨禅师只有道信禅师一个弟子。据《楞伽师资记》记载,"璨僧师隐思(司)空山,萧然净坐,不出文记,秘不传法,唯僧道信,奉事璨十二年。"

解缚石

解缚公案
三祖寺是禅宗六大祖庭之一,原名山谷寺。三祖寺内有一巨石,上书“解缚”两个大字,说的是三祖为四祖解缚的公案。
佛教典籍记载,隋开皇十二年(592年)沙弥道信来到山谷寺,礼谒三祖,求曰:
“愿和尚慈悲,为我解缚。”
三祖问:“是谁将你缚住了?”
道信答:“无人缚我。”
三祖又问:“既无人缚你,那你又求何解缚?”
道信闻言大悟,后又随三祖修学九载,接法是为禅宗四祖。

觉寂塔
生死自在
三祖僧璨大师寂于隋大业二年(606)。
入寂前,僧璨禅师曾告诉大众云:"余人皆贵坐终,叹为奇异,余今立化,生死自由(别人都把坐着入灭看得很重,认为这样的走法希有难得,我则不然,我今天要站着走,以示生死自由)",说完,便用手攀着树枝,奄然而化。
唐天宝四年(745年),舒州别驾李常取僧璨大师遗骨火化,得到五色舍利300粒,用其中100粒塑造三祖像,又拿出自己俸禄,建造一座三祖舍利塔,把塑像放置于底层。
唐乾元元年(758年),肃宗李亨赐山谷寺名“三祖山谷乾元禅寺”。
公元772年,唐代宗李豫谥僧璨名“鉴智禅师”,赐塔名“觉寂塔”。
如今的塔几经重修,塔宫里珍藏有三祖舍利子,唐代的塔基、宋代的塔刹、明代的塔身,楼阁式塔体,砖木结构,飞檐翘角,斗拱相乘。塔顶置有相轮,由8条碗口粗的铁链牵制,链上系有400余只风铃,风吹铃动,叮当悦耳。


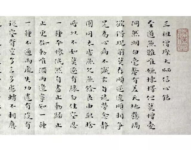
三祖僧璨大师虽然没有公开弘扬祖师禅法,但为后人留下一篇阐述禅理的《信心铭》。
《信心铭》文字不多,但字字珠玑,意义深奥,对后世禅宗的发展产生了极为深远的影响,被后世认为是禅宗的要典,对禅修者来说极富指导意义。
如果能背诵下来,并时时任意拈取其中一句,细细品味,将会从中获得极大的利益。

往期精彩回顾:
佛法带你穿越古文明:祖先留给我们一份大礼--“生命升华的天梯”

贤劫千佛心 响崖大德知
现后中救我 脱轮到菩提
回 向
文殊师利勇猛智 普贤慧行亦复然
我今回向诸善根 随彼一切常修学
三世诸佛所称叹 如是最胜诸大愿
我今回向诸善根 为得普贤殊胜行

佛经|佛法|文化|空性|慈悲
美好的一天从发菩提心开始:
如昔诸善逝 先发菩提心
复此循序住 菩萨诸学处
如是为利生 我发菩提心
复于诸学处 次第勤修学
佛教慧日
分享喜乐 智慧